成都双流刘沅后人:两则家训传承百年 “教我们如何做好人”|天府好家规

封面区块链 该文章已上链 >

封面新闻 2023-06-09 07:38 56460

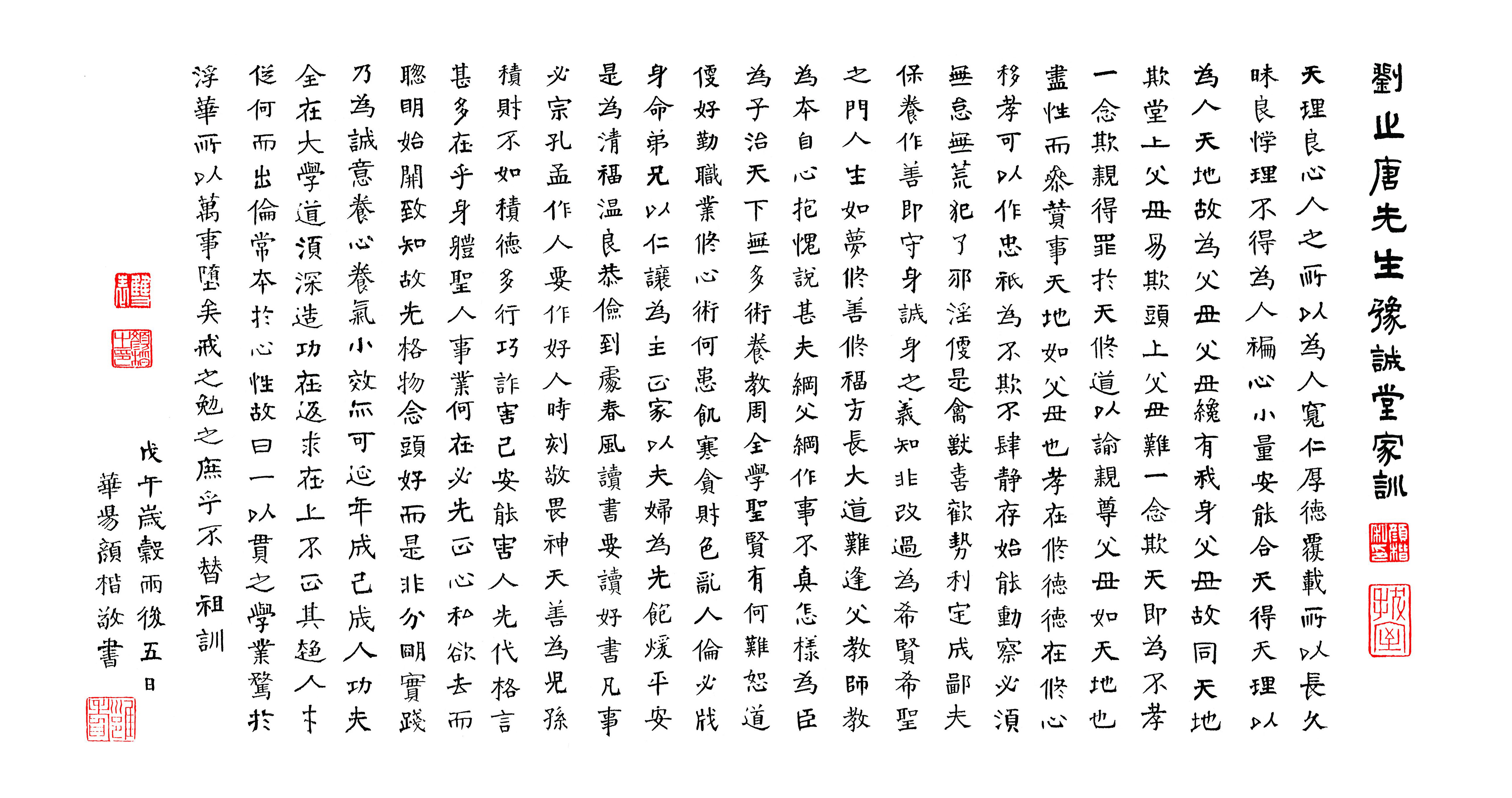
《豫诚堂家训》

封面新闻记者 刘秋凤

清代四川学者刘沅,世人称他为“川西夫子”。其著作《槐轩全书》,创立槐轩学派,在学术上被称为“双流刘门”。

近日,由四川省纪委监委机关、四川省委宣传部主办的第二届“天府好家规”征集活动已经启动,正在面向全省公开征集好家规及背后的故事。其中,双流区纪委监委推荐了双流刘氏家训。

刘沅一族,人才辈出,是一个至今活着的文化世家。刘氏家训有两部:一是《蒙训》,二是《豫诚堂家训》。6月8日,记者来到刘沅后人刘镛晋家里,听她讲述《蒙训》与《豫诚堂家训》两则家训传承百年,潜移默化影响了一代又一代人,依然持续发挥着生命力。

两本家训:“教我们如何做好人”

“你看这本书,开篇就是我们家的两则家训……”在小区内,刘镛晋带着一本《国学经典成都读本》向记者展示,该书的第一篇是《蒙训》,第二篇就是《豫诚堂家训》。这两篇都是刘沅为8个儿子和其子孙所写,至今已经传承了百年。

据悉,《蒙训》用于儿孙启蒙;《豫诚堂家训》虽然只有500个字,但字字珠玑,句句警言。

四川省历史学会会长谭继和非常推崇刘沅。他曾在媒体上公开表示,巴蜀文化近代对华夏家教文化的贡献,以近代开端时期西部启蒙思想家刘沅的《豫诚堂家训》和《蒙训》为楷模性代表。

大道至简。《豫诚堂家训》的开篇第一句就是“天理良心,人之所以为人……”“家训就是教我们如何做人,做好人!”刘镛晋从小念着《豫诚堂家训》和《蒙训》长大。家训中包含了如何处理父母关系、夫妻关系、兄弟关系、朋友关系、上下级关系等,用语浅显易懂,非常接地气,重点教育人最基本的心性修养。

传承百年:后人大多从事文教职业

双流刘氏是一个大家族,刘沅有8个儿子,刘镛晋的曾祖父是他的第六个儿子。1991年,刘镛晋的父亲刘恒蓺召集五湖四海的族人回到家乡一聚,当年有150多人到场。后来,刘氏族人常常在清明节前用祭祖的方式团聚。

他们聚会的话题总是少不了“传承”二字。《豫诚堂家训》和《蒙训》一直保持着生命力。

后人知名的人士有如著名书法家刘东父、化学家刘铸晋、魔芋专家刘佩瑛、茶学大家刘勤晋、著名书法家刘奇晋……刘镛晋告诉记者,刘佩瑛和刘勤晋就是刘沅“第四个儿子”的后人。“晋”字辈和“恒”字辈的后人大多从事文教职业。

刘氏是成都乃至四川著名的教育世家,是一个至今活着的文化世家。刘沅教育后人世代秉承“忠孝”“孝和”“纯孝纯悌”等家风,恪守《豫诚堂家训》。如今,刘镛晋8岁的孙女和她妹妹6岁的孙子都会背诵两则家训。

开枝散叶:“川西夫子”的家训走进千家万户

一百多年前的刘沅当时可能没想到,自己为子孙后代编写的家训,会被无数陌生的孩子们传唱。

双流彭镇是槐轩文化的发源地。去年,在彭镇槐轩故里文化苑内,一群小学生穿上了汉服,在老师的带领下吟诵着《豫成堂家训》。作为活动的主导者,双流区纪委监委注重寓廉于教,与相关单位和“川西夫子”后人共同对槐轩庐墓进行改造升级。

“以刘沅为主题,我们还开展过好家训展览。”双流区纪委监委相关负责人表示记者,为了让好家风走出历史,走进千家万户,展览集中展示了刘沅所著的《十三经恒解》中所能收集到的部分古籍资料以及他著作的海外译本。同时还提供了刘沅及其后代刘东父、刘奇晋的书画作品,刘沅后人、当代植物学家、魔芋专家刘佩瑛的文集以及来自19个家族的族谱。

此外,为打响槐轩故里品牌,彭镇近年来挖掘、保护、弘扬根植于彭镇的槐轩故里文化,大力开展“槐轩文化”品牌建设,先后推出了一系列以槐轩为主题的文化活动。

双流区纪委监委相关负责人表示,双流区把家风建设作为作风建设的重要内容,汲取槐轩文化中的廉洁文化精华,以槐轩庐墓为载体,打造双流廉洁文化品牌。

评论 3

  • fm1906641 2023-06-10 发表于四川

  • 吃嘛嘛香 2023-06-09 发表于四川

    传承太重要了

  • 吃嘛嘛香 2023-06-09 发表于四川

    不容易啊

我要评论

去APP中参与热议吧