量子模拟计算领域,我科学家实现重要突破!

人民日报 2024-05-30 13:22 66026

记者从清华大学获悉,中国科学院院士、清华大学交叉信息研究院教授段路明研究组近日在量子模拟计算领域取得重要突破,首次实现512离子二维阵列的稳定囚禁冷却以及300离子量子比特的量子模拟计算。该工作实现了国际上最大规模具有单比特分辨率的多离子量子模拟计算,将原来的离子量子比特数国际记录往前推进了一大步,并首次实现基于二维离子阵列的大规模量子模拟。

该成果研究论文《具有单比特分辨率的数百囚禁离子二维量子模拟器》(A site-resolved two-dimensional quantum simulator with hundreds of trapped ions)日前在《自然》杂志官网在线发表,被审稿人称为“量子模拟领域的巨大进步”“值得关注的里程碑”。

实验获得512离子二维阵列图像与典型300离子单点分辨测量结果

据介绍,离子阱系统被认为是最有希望实现大规模量子模拟和量子计算的物理系统之一,该系统的规模化被认为是主要挑战。本工作中,团队研究人员利用低温一体化离子阱技术和二维离子阵列方案,大规模扩展离子量子比特数并提高离子阵列稳定性,首次实现512离子的稳定囚禁和边带冷却,并首次对300离子实现可单比特分辨的量子态测量。

段路明院士(右一)指导学生实验 贾桂昊摄

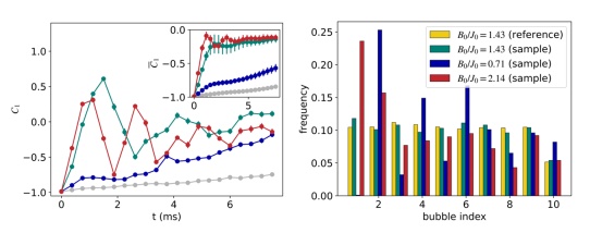
研究人员进而利用300个离子量子比特实现可调耦合的长程横场伊辛模型的量子模拟计算。一方面,研究人员通过准绝热演化制备阻挫伊辛模型的基态,测量其量子比特空间关联,从而获取离子的集体振动模式信息,并与理论结果对比验证;另一方面,研究人员对该模型的动力学演化进行量子模拟计算,并对末态分布进行量子采样,通过粗粒化分析验证其给出非平庸的概率分布,超越经典计算机的直接模拟能力。该实验系统为进一步研究多体非平衡态量子动力学这一重要难题提供了强大工具。

典型300离子长程横场伊辛模型量子模拟计算结果

评论 25

  • 万科拆迁部23号挖掘机手 2024-05-30 发表于四川

    真是硬核科技,为中国智慧点赞!

  • 弗吉妮娅 2024-05-30 发表于四川

    从科幻走向现实,中国速度惊人!

  • 漫游思海 2024-05-30 发表于四川

    科技兴国,这波操作简直666!

查看更多

去APP中参与热议吧